Recorde histórico: TRT-14 arrecada mais de R$133 milhões na Semana Nacional da Execução Trabalhista
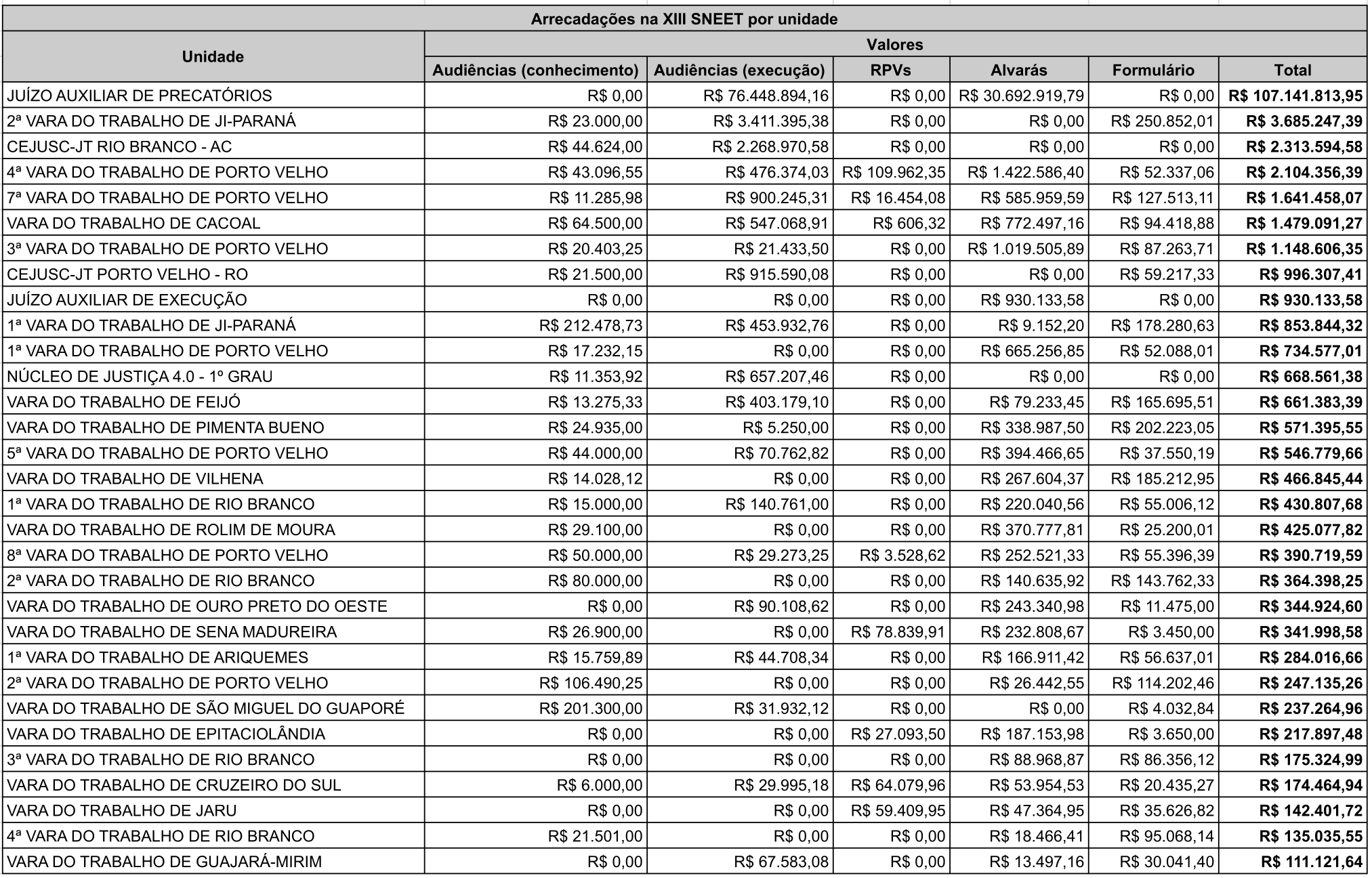
Destaque para o Juízo Auxiliar de Precatórios, que arrecadou mais de R$107 milhões entre alvarás, acordos e convênio.
O Tribunal Regional do Trabalho da 14ª Região (RO/AC) conquistou um feito inédito durante a 13ª edição da Semana Nacional da Execução Trabalhista, realizada de 18 a 22 de setembro de 2023. Durante essa semana intensiva de atividades, a Justiça do Trabalho, nos estados de Rondônia e Acre, conseguiu arrecadar mais de 133 milhões de reais, marcando o melhor desempenho na história do TRT-14 em todas as edições realizadas, elevando-o à segunda posição no ranking nacional dos tribunais de mesmo porte, feito inédito, tanto em valores arrecadados, quanto na colocação entre os TRTs.
O mutirão, coordenado pelo Conselho Superior da Justiça do Trabalho (CSJT), mobilizou todos os 24 Tribunais Regionais do Trabalho do país, bem como o Tribunal Superior do Trabalho (TST), com o objetivo único de solucionar o maior número possível de processos em fase de execução, nos quais não cabem mais recursos e que aguardam o pagamento das determinações judiciais.
Segundo dados apurados no painel do Executômetro, mantido pelo CSJT, o mutirão alcançou um total de mais de R$4,3 bilhões arrecadados em todo o Brasil, com 21.943 acordos homologados, 607 leilões realizados e mais de 397 mil pessoas atendidas.
Desempenho e números expressivos
O TRT da 14ª Região (RO/AC) obteve um êxito considerável, arrecadando R$133.353.134,74. Durante a Semana Nacional, as 32 varas trabalhistas, os Centros Judiciários de Métodos Consensuais de Solução de Disputas, o Juízo Auxiliar de Execução, o Juízo Auxiliar de Precatórios e o Núcleo de Justiça 4.0 (1º Grau) realizaram 1.044 audiências, homologaram 352 acordos e promoveram 17 leilões, beneficiando um total de 5.201 pessoas.
Para a coordenadora da Semana Nacional da Execução Trabalhista no TRT-14, a juíza Auxiliar da Corregedoria e de Execução, Fernanda Antunes Marques Junqueira, o recorde sem precedentes no Tribunal reflete o comprometimento de todas as unidades, tanto administrativas quanto judiciais. "Um destaque vai para o setor de precatórios, que desempenhou um papel crucial na bem-sucedida Semana Nacional da Execução Trabalhista", frisou.
Precatórios em Foco
Um dos destaques dessa realização é o Juízo Auxiliar de Precatórios do TRT-14, que arrecadou mais de 107 milhões de reais em razão da liberação de alvarás, realização de acordo e formalização de um convênio com a Companhia de Águas e Esgotos do Estado de Rondônia (Caerd/RO). O juiz Auxiliar da Presidência e de Precatórios, Augusto Nascimento Carigé, celebrou esse feito, destacando seu impacto positivo na vida de mais de 500 credores, que receberão os precatórios pendentes, no valor de R$47 milhões, até dezembro de 2024, no caso do convênio celebrado com a Caerd/RO.
O juiz Auxiliar enfatizou que essa conquista é fruto de um esforço conjunto e das mudanças significativas implementadas na unidade de precatórios, incluindo a conversão em secretaria, a digitalização de mais de 2500 processos e o empenho incansável na negociação de convênios com os devedores.
Este êxito não seria possível sem o comprometimento incansável dos servidores e estagiários, a quem o juiz Auxiliar expressou sua profunda gratidão. O sucesso alcançado contribui diretamente para a justiça e equidade em nossa sociedade e representa o começo de uma jornada em direção a um sistema de precatórios mais eficiente e justo.
Concilie em qualquer tempo
Além das semanas temáticas, a 14ª Região está sempre disponível para receber pedidos de audiência de conciliação com vistas à solução pacífica dos litígios trabalhistas.
As partes podem inscrever casos no Portal da Conciliação. Nessa hipotese, basta informar o nome, se é reclamante, advogado(a) ou reclamado(a), e-mail, numeração integral dos autos e a unidade em que tramita a ação. Inscrições de casos em fase recursal também são realizadas via contatos que estão disponíveis no Portal da Conciliação para tentativa de conciliação no Cejusc-JT da 2ª Instância.
Confira a seguir os rankings detalhados do desempenho das unidades judiciárias do TRT-14 na Semana Nacional da Execução Trabalhista
Ranking por Arrecadação


Ranking por Conciliação


Secom/TRT-14
Esta matéria tem caráter informativo, sem cunho oficial.
É permitida a reprodução mediante citação da fonte.
